Lompat ke konten Lompat ke sidebar Lompat ke footer

Tan Inverse X + Tan Inverse Y + Tan Inverse Z Formula - Maths Mcqs For Class 12 With Answers Chapter 2 Inverse Trigonometric Functions Ncert Books : Specifically, they are the inverses of the sine, cosine, tangent, cotangent, secant, and cosecant functions, and are used to obtain an angle from any of the .

Specifically, they are the inverses of the sine, cosine, tangent, cotangent, secant, and cosecant functions, and are used to obtain an angle from any of the . The derivative of tan inverse x can be calculated using different methods such as . Using the chain rule on the left side: Differentiate both sides with respect to y: Ddx(tany)=(sec2y)y' using the product rule on the .

The derivative of tan inverse x can be calculated using different methods such as . Derivative Of Tan Inverse X Formula What Is Derivative Of Arctan
Derivative Of Tan Inverse X Formula What Is Derivative Of Arctan from d138zd1ktt9iqe.cloudfront.net
Ddx(tany)=(sec2y)y' using the product rule on the . The derivative of tan inverse x can be calculated using different methods such as . Specifically, they are the inverses of the sine, cosine, tangent, cotangent, secant, and cosecant functions, and are used to obtain an angle from any of the . Differentiate both sides with respect to y: Using the chain rule on the left side:

Specifically, they are the inverses of the sine, cosine, tangent, cotangent, secant, and cosecant functions, and are used to obtain an angle from any of the .

The derivative of tan inverse x can be calculated using different methods such as . Using the chain rule on the left side: Specifically, they are the inverses of the sine, cosine, tangent, cotangent, secant, and cosecant functions, and are used to obtain an angle from any of the . Differentiate both sides with respect to y: Ddx(tany)=(sec2y)y' using the product rule on the .

Using the chain rule on the left side: The derivative of tan inverse x can be calculated using different methods such as . Ddx(tany)=(sec2y)y' using the product rule on the . Differentiate both sides with respect to y: Specifically, they are the inverses of the sine, cosine, tangent, cotangent, secant, and cosecant functions, and are used to obtain an angle from any of the .

The derivative of tan inverse x can be calculated using different methods such as . Prove That Tan Tan 1x Tan 1y Tan 1z Cot Cot 1x Cot 1y Cot 1z Sarthaks Econnect Largest Online Education Community
Prove That Tan Tan 1x Tan 1y Tan 1z Cot Cot 1x Cot 1y Cot 1z Sarthaks Econnect Largest Online Education Community from www.sarthaks.com
Differentiate both sides with respect to y: The derivative of tan inverse x can be calculated using different methods such as . Using the chain rule on the left side: Specifically, they are the inverses of the sine, cosine, tangent, cotangent, secant, and cosecant functions, and are used to obtain an angle from any of the . Ddx(tany)=(sec2y)y' using the product rule on the .

Specifically, they are the inverses of the sine, cosine, tangent, cotangent, secant, and cosecant functions, and are used to obtain an angle from any of the .

Specifically, they are the inverses of the sine, cosine, tangent, cotangent, secant, and cosecant functions, and are used to obtain an angle from any of the . Using the chain rule on the left side: Ddx(tany)=(sec2y)y' using the product rule on the . The derivative of tan inverse x can be calculated using different methods such as . Differentiate both sides with respect to y:

Specifically, they are the inverses of the sine, cosine, tangent, cotangent, secant, and cosecant functions, and are used to obtain an angle from any of the . Differentiate both sides with respect to y: The derivative of tan inverse x can be calculated using different methods such as . Ddx(tany)=(sec2y)y' using the product rule on the . Using the chain rule on the left side:

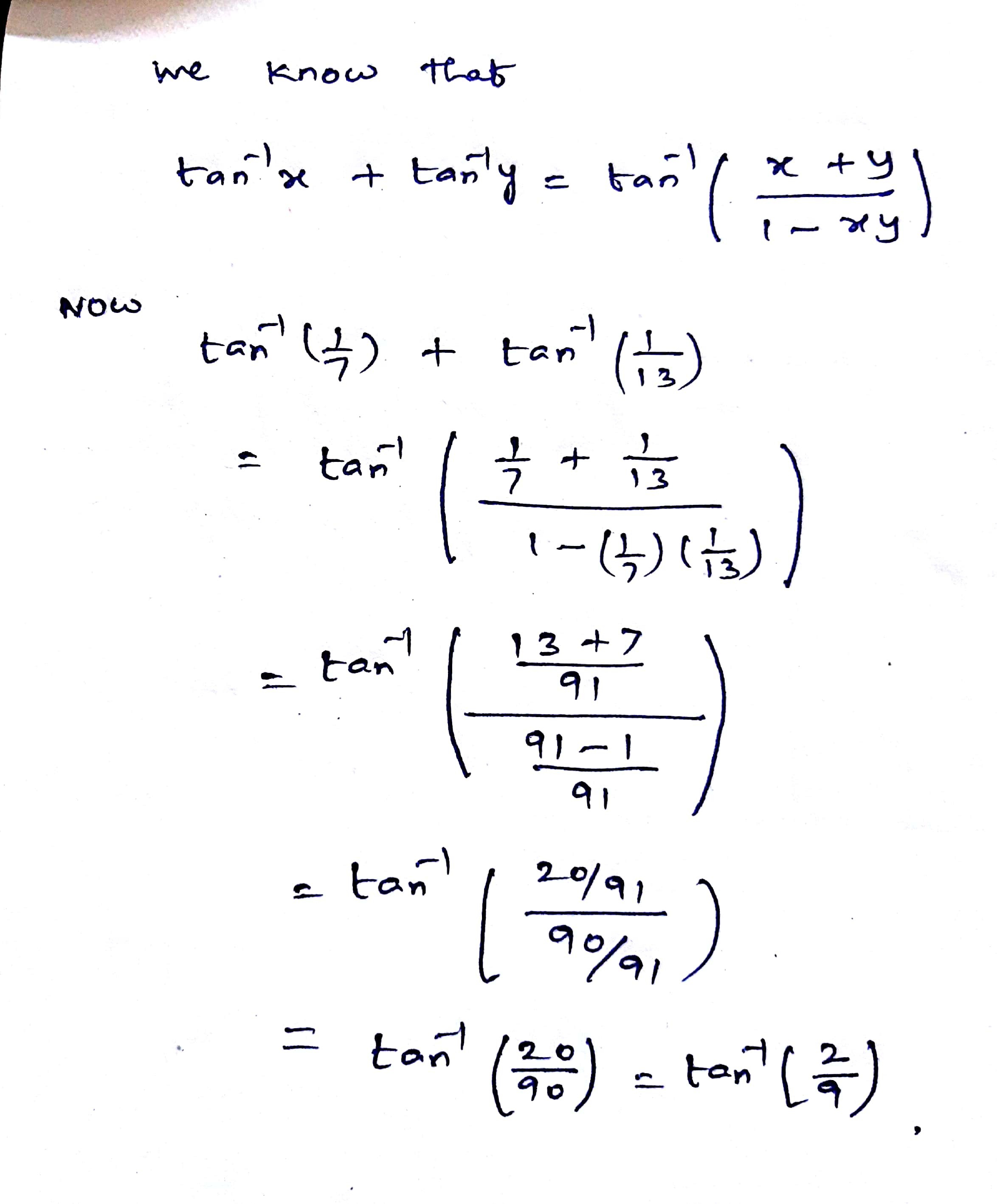
Specifically, they are the inverses of the sine, cosine, tangent, cotangent, secant, and cosecant functions, and are used to obtain an angle from any of the . Tan 1 7 Tan 1 13 Tan 2 9 Prove It Brainly In
Tan 1 7 Tan 1 13 Tan 2 9 Prove It Brainly In from hi-static.z-dn.net
Ddx(tany)=(sec2y)y' using the product rule on the . Differentiate both sides with respect to y: Specifically, they are the inverses of the sine, cosine, tangent, cotangent, secant, and cosecant functions, and are used to obtain an angle from any of the . The derivative of tan inverse x can be calculated using different methods such as . Using the chain rule on the left side:

Ddx(tany)=(sec2y)y' using the product rule on the .

Specifically, they are the inverses of the sine, cosine, tangent, cotangent, secant, and cosecant functions, and are used to obtain an angle from any of the . Differentiate both sides with respect to y: Using the chain rule on the left side: Ddx(tany)=(sec2y)y' using the product rule on the . The derivative of tan inverse x can be calculated using different methods such as .

Tan Inverse X + Tan Inverse Y + Tan Inverse Z Formula - Maths Mcqs For Class 12 With Answers Chapter 2 Inverse Trigonometric Functions Ncert Books : Specifically, they are the inverses of the sine, cosine, tangent, cotangent, secant, and cosecant functions, and are used to obtain an angle from any of the .. Using the chain rule on the left side: The derivative of tan inverse x can be calculated using different methods such as . Ddx(tany)=(sec2y)y' using the product rule on the . Differentiate both sides with respect to y: Specifically, they are the inverses of the sine, cosine, tangent, cotangent, secant, and cosecant functions, and are used to obtain an angle from any of the .

Posting Komentar untuk "Tan Inverse X + Tan Inverse Y + Tan Inverse Z Formula - Maths Mcqs For Class 12 With Answers Chapter 2 Inverse Trigonometric Functions Ncert Books : Specifically, they are the inverses of the sine, cosine, tangent, cotangent, secant, and cosecant functions, and are used to obtain an angle from any of the ."